Scooter Braun Deixa HYBE: Impactos e Reações

Acelino Silva

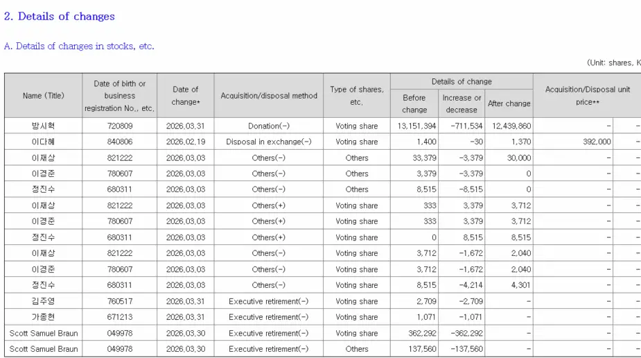
A saída de Scooter Braun da HYBE marca um novo capítulo na história da empresa. Em 1º de abril, usuários de redes sociais divulgaram que Braun vendeu todas as suas ações da HYBE, conforme um documento regulatório oficial submetido à Comissão de Serviços Financeiros. Este documento indicava que, até 30 de março de 2026, ele havia se desfeito de suas 362.292 ações, encerrando sua participação como acionista.

Além disso, o método de aquisição e disposição foi descrito como “Aposentadoria Executiva”, confirmando sua saída dos papéis executivos. Scooter_Braun_qa-1-640x480

História de Scooter Braun na HYBE

Depois de deixar o cargo de CEO da HYBE América em julho de 2025, Braun continuou como diretor do conselho e conselheiro sênior do presidente Bang Si Hyuk. Ele era o segundo maior acionista individual na empresa. O relatório da FSC sugere que os laços formais entre Braun e HYBE foram completamente rompidos, o que gerou reações mistas entre os fãs.

Reações dos Fãs

Os fãs há muito tempo pediam que a HYBE se distanciasse de Braun, principalmente devido ao seu apoio explícito ao sionismo e outros comentários ofensivos. Com a confirmação de sua saída, muitos fãs expressaram alívio e comemoração nas redes sociais:

  • Usuários celebraram a saída de Braun como uma “liberdade de um demônio”.
  • Outros, no entanto, acreditam que a remoção de Braun é insuficiente, dado o envolvimento da HYBE com outras figuras sionistas.

Alguns fãs enfatizam que a luta continua até que a HYBE se desvincule completamente do sionismo e da ocupação. Screenshot 2026-04-02 041718

O Impacto da Saída de Braun

A saída de Braun não é vista como uma solução completa. Muitos fãs continuam céticos sobre o impacto real disso na empresa:

  • Alguns argumentam que as decisões de merchandising e a falta de sensibilidade da HYBE ainda precisam ser abordadas.
  • Outros expressam preocupação com a possibilidade de que a cultura corporativa permaneça inalterada.

Além disso, o recente envolvimento do BTS com uma empresa israelense para uma nova colaboração gerou críticas adicionais, levantando questões sobre a posição da HYBE em relação ao sionismo.

Resumo

A saída de Scooter Braun da HYBE é um marco significativo, mas a reação dos fãs mostra que ainda há um longo caminho a percorrer. A empresa enfrenta o desafio de realinhar suas práticas e políticas para atender às expectativas de sua base de fãs global. A atenção agora se volta para como a HYBE responderá a estas críticas contínuas e se buscará mudanças mais profundas em sua estrutura e alianças.

Share This Article
Follow:
Sou um amante de séries, filmes, games, doramas, k-pop, animes e tudo relacionado a cultura pop, nerd e geek.